2000年,CIE提出了一個新的色彩評價公式,稱為 CIE2000色差公式,這也是目前為止最新的色差公式。本文主要介紹了CIE DE2000 色差公式的提出和計算方法。

為了進一步改善工業色差評價的視覺一致性, CIE 專門成立了工業色差評價的色相和明度相關修正技術委員會TC1-47 (Hue and Lightness Dependent Correction to Industrial Colour Difference evalsuation),經過該技術委員會對現有色差公式和視覺評價數據的分析與測試,在2000年提出了一個新的色彩評價公式,並於2001年得到了國際照明委員會的推薦,稱為 CIE2000色差公式,簡稱 CIEDE2000。
由於人眼與色差計在色度圖中不同位置的色彩評估方法和形狀上的差異,引起了許多色彩評定時測量數據與目測結論不匹配的問題, CIE 2000 色差計算公式的提出,就是為了解決這個問題和難題。
CIE 2000 色差公式並不是創建了一個新的人眼辨別臨界區均勻的色空間,而是重新定義了色差計算方法,使得在整個 CIE Lab (L*a*b*色空間)中,色差計算值與人眼評估更為接近。新的色差公式在原色差計算公式基礎上,另外特別引用了三個新的重量係數SL,Sc和 S,分別代表了在亮度ΔL*、飽和度ΔC*和色調ΔH*方向上的差異程度。顯然,這三個重量係數與亮度L*、飽和度C*及色調角 h 有關係。因此,新計算公式綜合了在 CIE Lab (L*a*b*色空間)中人眼的辨別臨界區的特征,並為與人眼評估密切相關的三個參數:1)飽和度、2)色調及3)亮度獨立設置了修正係數。
兩個顏色樣品的 CIE DE2000 色差按照計算。帶上劃線的量值,表示兩個色差樣品該量值的平均值。
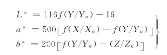
1. 計算L',a'和b如下:

式中G的計算如下:

式中:
L*,a*,b*以及C*計算方法如下:


2. 計算C''和h'如下:

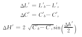
3. 計算兩個顏色樣品的ΔL'、ΔC'和ΔH'如下:

式中:

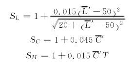
4. 計算加權函數 SL,Sc,SH[如下:

式中T的計算如下:

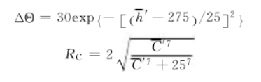
5. 計算旋轉函數Rr如下:

式中ΔΘ、Rc的計算如下:

式中:

6. 總色差計算
CIE DE2000 總色差的計算方法如下:

式中:
kL,kc,kH——實驗條件和目視評價標準條件偏離的校正因子。在標準條件下,kL,kc,kn都等於1;當實驗條件和標準條件不同時,kL,kc,kH的取值方法見 CIE 101:1993。
注: CIE DE2000 色差公式適用於對人眼張角大於4°的樣品,應使用下腳標10。本標準與 CIE 142:2001保持一致,略去下腳標10。